Skip to main content
Skip table of contents

Euler-Bernoulli beam model

Euler-Bernoulli beam model is the most simple model to describe the behaviour of beam. Its basic assumptions are:

  1. The cross section of beam will remain planar in bending
  2. The cross section of beam will not stretch in bending
  3. The transversal shearing deformation of beam is insignificant
  4. Deformations are considered small.


The cross section of Euler-Bernoulli beam remains perpendicular to beam neutral axis in bending. The figure below illustrates Euler-Bernoulli beam.

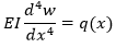
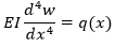
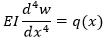
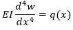
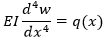
The dependency between loading of beam and its displacement can be derived from the basic assumptions. The dependency can be presented with following equation:

,where

  • EI = flexural rigidity
  • w = displacement of beam neutral axis
  • q = loading of beam


JavaScript errors detected

Please note, these errors can depend on your browser setup.

If this problem persists, please contact our support.